影響輕載球磨機設備中電機效率的因素
日期:2013-09-30 作者:網站管理員 瀏覽
在線溝通
技術在線 聯系電話:13849116116
導讀:球磨機設備 中電機在同一負載P2下運行于端電壓為U pn 和U px 的效率比為: 由三相異步電動機在某一負載運行的簡化等值電路有: 公式中:s為轉差率。 球磨機設備中的電機在同一負載P2下運行于端電壓為Upx和Upx的相電流比: 則式(1)表示為: 因此,影響球磨機設備中電機效率的因素有:電壓、轉差率及功率因素。
球磨機設備中電機在同一負載P2下運行于端電壓為Upn和Upx的效率比為:

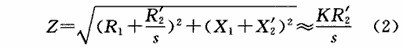
由三相異步電動機在某一負載運行的簡化等值電路有:

公式中:s為轉差率。
球磨機設備中的電機在同一負載P2下運行于端電壓為Upx和Upx的相電流比:

則式(1)表示為:

因此,影響球磨機設備中電機效率的因素有:電壓、轉差率及功率因素。