新聞中心
通常Φ4.2m球磨機的滑環翼板厚度一般在95~100mm,寬度約為1m左右,Φ5m球磨機的滑環翼板厚度一般在100~130mm,寬度約為1.3m左右。要完成類厚板的卷制從原材料選擇及設備選用等方面都需要進行仔細的分析研究。
首先,原材料不易選擇脆性大的材料,否則容易在卷制過程中卷斷。我公司一般選用Q235R或Q235C的材料做滑環翼板的材料,這種材料的韌性較好,即使在冬季進行冷卷制也沒有問題;另外其可焊性也非常好,當環境溫度大于零度以上焊接時一般補需要預熱焊接。
其次,要完成翼緣板的冷卷制,選擇合適的卷板機非常中。我公司Φ4.2m以下的球磨機滑環翼緣板卷制采用的是80mm×4m的數控液壓式卷板機,Φ4.2m~5.2m球磨機滑環翼緣板卷制采用的是150mm×2.5m數控液壓式卷板機。
第三,為了保證設備的正常使用,在卷制前,需要對設備能力進行驗證,避免由于過載損壞設備。其中鋼板卷制的主要工藝參數見下圖1,卷板機的卷板能力計算過程見下表1。


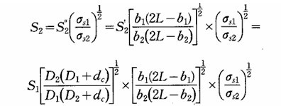
上表1中,帶腳標“1”的為已知量,帶腳標“2”的為所求量。D2為離上輥最近的共組輥的直徑,當材質、板寬、曲率等同事改變時,可由表1中的公式聯立求解。
例:已知:σs1,b1,D1,S1,σs2,b2,D2,求:S2經查表1即可得出:

第四,為避免卷制合口后出現直段無法校圓而造成產品質量不合格,一般要求鋼板定制時要預留一定長度作為壓頭,壓頭長約主輥直徑的1/2。
第五,操作工藝的正確編制與操作實施,也是卷制出合格的兩個關鍵因素。我公司對于卷板操作編制了整套操作工藝,主要包括下料、拼接、卷制、合口、焊縱縫、校圓等一系列操作過程和控制要求,同時每一過程固定具有較高水平的操作者;并對每一操作過程都實行定期考核管理,從而保證了滑環卷制質量。如在卷制過程中,要求操作者及時采用弦長≥d/6(d指滑環翼板內徑)的內樣板實時測量內徑,確保圓度等參數負荷技術要求。
上一篇:球磨機系統的仿真研究
下一篇:Φ3m×6m球磨機改進措施